Introduction to FEA CD $59.99
|
FETraining
Buckling Analysis
Example:
Buckling of a simply supported isotropic panel, subject to an end load.
This type of buckling is common whenever a panel sees an in plane set of loads. It may
be part of a vehicle outer skin, a panel in a piece of furniture or a section of aircraft
wing skin. A schematic of the structure, applied loading and boundary conditions is
shown below.
There are various classical solutions for this problem, based on assumed displacement
of the plate. Roark, Megson are typical references.
The solution to the actual buckled shape is controlled by the number of assumed
wavelengths in each direction. By convention we have m in the 'long' direction in which
the load is assumed to be applied and n in the 'short' or transverse direction. The
picture below shows an FE analysis in which a buckled shape is showing 3 half
wavelengths in the loaded direction and 1 half wave length in the transverse direction.
The classical solutions establish an equation for the critical buckling load in terms of m
and n, which are unknowns. The engineer then substitutes values of m and n integers (
1, 2, 3 etc.) to see what is the lowest critical buckling load that can be found.
In the case of the square panel above, the lowest solution is with m = 1. M = 3 would be
achieved if the panel were snubbed or guided in some way such that m = 1 or 2 could
not be achieved. We will see shortly how the FE analysis is able to find a full range of
buckling mode shapes.
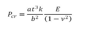
The Roark equation for the critical buckling load is:
The parameter k, is a factor to allow for various (m,n) corrections to be made based on
the aspect ratio a/b of the plate. In this case the user looks up the term k from a table
as below.
The dimensions of the plate used in this example a re a = 24 inches, b = 24 inches.
Thickness is 0.1 inches.
Young's Modulus, E is 1.07E7 lbs/in^2
Poisson's raitio is 0.3
The aspect ratio in this case is 2.0, so the parameter is 3.29.
This gives a critical buckling load of 1646 lbf for the plate.
The first buckled mode shape from the FE analysis shown below. It matches the Roark
solution with a critical buckling load of 1645.8 lbf.
The method that an FE program such as Nastran uses to establish the critical buckling
loads and mode shapes is via an Eigen-Value analysis. This is usually associated with a
normal modes solution, wher we use the structural stiffness and mass matrices. It will be
seen later that the buckling problem can be set up as a very similar eigen-value
problem, where the traditional stiffness matrix and the geometric stiffness matrix used.
To establish the geometric stiffness matrix terms we need a perturbation of the basic
structural analysis. The FE solution is therefore in two parts. A static solution, with
known loading is applied. An eigen value solution is then used to establish the scaling
factor on the applied load that will occur at critical buckling.
In the first case above a load of 10,000 lbs was applied and the first eigen value was
0.16458. This scales the load to the expected critical buckling load of 1545.8 lbs.
It is useful to look at the family of eigen values ( load scaling factors) and eigen vectors
( buckled mode shapes).
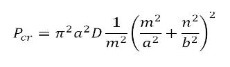
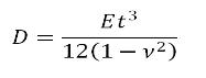
Megson provides an expanded expression for the critical buckling load, which allows the
user to input any combination of m and n to find a solution.
where






