FETraining
What is Mile's Equation and how do I apply it?
Example of using Mile’s Equation.
A bracket, as shown in the figure is cantilevered off a support wall. The attachment of
the bracket to the wall is modeled simply by rigid connections at the four corners. The
rigid connections are made to a single grid point with a seismic mass, through which the
applied acceleration acts.
A payload of 50 lbs is connected to the base of the bracket.
The seismic mass is constrained to move only on z and has a value 1e6 times the
bracket plus payload mass total.
The first natural frequency is a vertical plate bending mode of the bracket horizontal
shelf. It occurs at 33.372 Hz. Other modes exist below 500 Hz, but they are insensitive
to base z input direction
The input acceleration is created by applying a force numerically equal to the seismic
mass. A unit acceleration in fundamental units ( in/s^2) is achieved.
Damping is 1% critical (Q is 50.0).
The input acceleration is from 10 Hz to 500 Hz. A plot of response acceleration at the
payload mass is shown below. The amplified response is seen at 33.372 Hz, with a Q of
50 as expected.
An analytical solution exists for the single degree of freedom problem, so that the shape
of the curve shown above can be obtained directly by theory.
The relationship between Input PSD and output PSD is very simply:
Where FRi is the Frequency response at Frequency (i) for a unit input. It is effectively a
Transfer Function.
The Mean square response is the area under the PSDout curve. Knowing an exact
solution allows an analytical expression for the integral of FRi2 across the frequency
range, assumed to be infinite. The PSDin term is a simple multiplier.
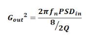
Miles came up with the expression that integrates the FR across an infinite frequency
range, with the application of a constant input PSD, assumed to be PSDin.
The expression is:
In terms of the RMS response:
In the case of the bracket, PSDin = 0.2 g^2/Hz fn = 33.372 Hz Q = 50
Gout = 16.190 g units.
An FE analysis was carried out using a ‘real’ PSD input curve with typical slopes and
plateau. The first natural frequency falls under the 0.1 g^2/Hz plateau.
The RMS acceleration plot for the structure is shown in the figure. The peak is 16.169 g
at the payload attachment point. This matches very closely the Miles equation result.
For completeness the PSD response curve for vertical acceleration at the payload grid
is shown. As a spot check, the peak is 250.129 g^2/Hz.
PSDout at 33.372 = PSDin* FR2 = 0.1*50*50 = 250.0 g^2/Hz, so only a small
numerical error exists.
In conclusion, the Miles equation assumes a constant PSDin, and also a single degree
of freedom response
The bracket has a single dominant mode and the Miles equation is a good
approximation to the actual response.
A typical application is to carry out a subsequent hand calculation or FE analysis using
the acceleration level calculated as a pseudo static load. For a very large FE model
there is some motivation in doing this as a first check as the data storage required for a
full RMS calculation can be very large. A later section will deal with an advanced
method to fit the Miles equation to a more complex structure with several dominant
modes.
A similar stress level was found in the bracket case, but the payload is applying load at
a single point on the plate, which is not a good modeling method for stress analysis.
This model is primarily to demonstrate equivalence of the RMS g response.
FILE FOR DOWN LOAD
test_bracket_psd.nas







