Introduction to
FEA CD
$59.99
sign up for the
Introduction to FE Analysis
Tutorial CD
I have a bridge structure, which is only loaded vertically, why do I have
to constrain it horizontally in the span and transverse directions?


The constraints that you apply to a model are completely independent of the loads that you
apply. We will have to use some equations here to describe how it works. The overall static
analysis solution is defined as:

F = Ku
F
is a vector of applied loads
u is a vector of displacements we want to solve for
K is the stiffness matrix

You will notice there is no constraint definition here. That is a clue.

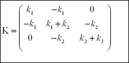
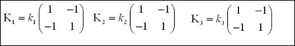
If we think of a series of springs, each only having axial stiffness Ki forming an FE model,
then we will assemble all of the spring element stiffnesses together to make an overall
model stiffness. The diagram below shows how.

































Now we have everything to solve for forces pulling at each end – or do we?













The stiffness matrix written here is singular, that means we cannot solve it. The reason is
that the structure is free to move in the axial direction. It has what we call a Rigid Body
Motion. Now we can solve for this in dynamic analysis – but not statics.

There is no reference to loading here; the stiffness matrix just doesn’t care what the
loadings are. It doesn’t matter if all is in perfect balance, the stiffness matrix will be singular.

So we have to constrain the model to eliminate all of the rigid body modes. In the
spring case we just ground, or fix one end. In the case of your bridge you will need
to constrain the end support regions so that they cannot slide horizontally.
If you still need some
guidance, try clicking the
hyperlinks for fuller definitions

or

sign up for the
Introduction to FE Analysis
Tutorial CD